Ikon för Ortnamnsregistret

Ortnamnsregistret

Valt ortnamn

Information om ortnamnet Abrahamsby

Information om Abrahamsby

Namn

Abrahamsby

Lokaltyp

bebyggelse

Specifik lokaltyp

by

Lokalisering

Gottröra sn, Långhundra hd, Stockholms län, Uppland

Koordinater

Latitud 59,741403 Longitud 18,159775 (Socken)

Språk

svenska

Id för ortnamnet

5934

Information om arkivposten Abrahamsby

Information om Abrahamsby

Namn

Abrahamsby

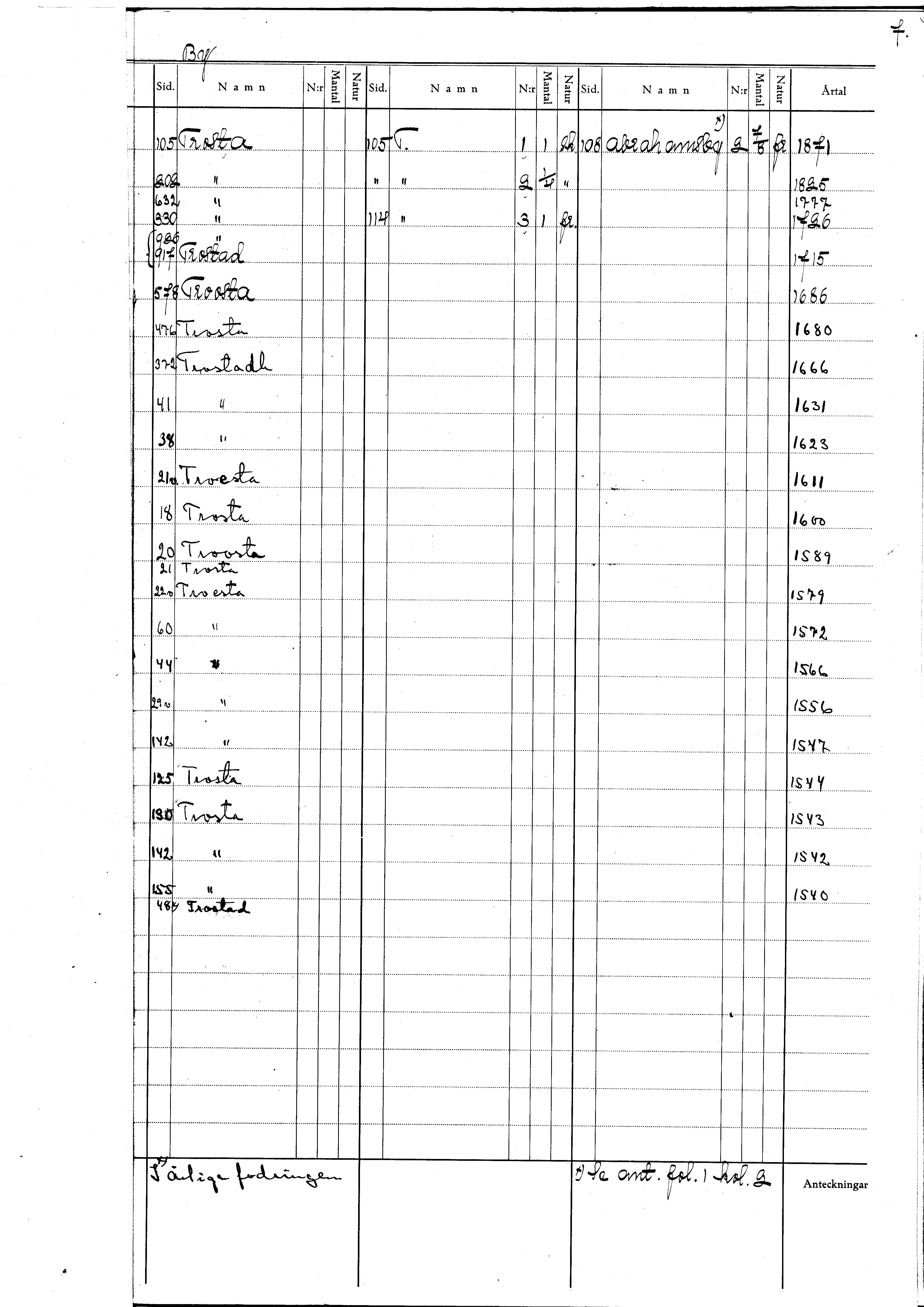
Belägg

Abrahamsbi

Beläggsår

1540, övriga beläggsår: 1542, 1543, 1544, 1547, 1556, 1566, 1572, 1579, 1589, 1600, 1611, 1623, 1631, 1666, 1680, 1686, 1715, 1726, 1777, 1825, 1871

Lokalisering

Gottröra sn, Långhundra hd, Stockholms län, Uppland

Informationstyp

Belägg

Källa

OAUjb = Excerpter ur kameralt material i Svenska Riksarkivet.

Kommentar

Ytterligare beläggsformer finns, se arkivkort.

Id för arkivposten

4188297

Arkivkort

Bild på arkivkortet för arkivposten Abrahamsby

Information om arkivposten Abrahamsby

Information om Abrahamsby

Namn

Abrahamsby

Belägg

Abrahamsbi

Beläggsår

1540, övriga beläggsår: 1542, 1543, 1544, 1547, 1556, 1566, 1572, 1579, 1589, 1600, 1611, 1623, 1631, 1666, 1680, 1686, 1715, 1726, 1777, 1825, 1871

Lokalisering

Gottröra sn, Långhundra hd, Stockholms län, Uppland

Informationstyp

Belägg

Källa

OAUjb = Excerpter ur kameralt material i Svenska Riksarkivet.

Kommentar

Ytterligare beläggsformer finns, se arkivkort.

Id för arkivposten

4188297

Arkivkort

Bild på arkivkortet för arkivposten Abrahamsby

Information om arkivposten Abrahamsby

Information om Abrahamsby

Namn

Abrahamsby

Belägg

i Abramsby

Beläggsår

1586

Specifik lokaltyp

gd

Lokalisering

Gottröra sn, Långhundra hd, Stockholms län, Uppland

Informationstyp

Belägg

Id för arkivposten

1977929

Arkivkort

Bild på arkivkortet för arkivposten Abrahamsby

Information om arkivposten Abrahamsby

Information om Abrahamsby

Namn

Abrahamsby

Belägg

i Abramsby

Beläggsår

1586

Specifik lokaltyp

gd

Lokalisering

Gottröra sn, Långhundra hd, Stockholms län, Uppland

Informationstyp

Belägg

Id för arkivposten

1977929

Arkivkort

Bild på arkivkortet för arkivposten Abrahamsby

Information om arkivposten Abrahamsby

Information om Abrahamsby

Namn

Abrahamsby

Belägg

Abramsby

Beläggsår

1588

Specifik lokaltyp

gd

Lokalisering

Gottröra sn, Långhundra hd, Stockholms län, Uppland

Informationstyp

Belägg

Id för arkivposten

1977930

Arkivkort

Bild på arkivkortet för arkivposten Abrahamsby

Information om arkivposten Abrahamsby

Information om Abrahamsby

Namn

Abrahamsby

Belägg

Abramsby

Beläggsår

1588

Specifik lokaltyp

gd

Lokalisering

Gottröra sn, Långhundra hd, Stockholms län, Uppland

Informationstyp

Belägg

Id för arkivposten

1977930

Arkivkort

Bild på arkivkortet för arkivposten Abrahamsby

Information om arkivposten Abrahamsby

Information om Abrahamsby

Namn

Abrahamsby

Belägg

i Abramsby

Beläggsår

1591

Specifik lokaltyp

gd

Lokalisering

Gottröra sn, Långhundra hd, Stockholms län, Uppland

Informationstyp

Belägg

Id för arkivposten

1977931

Arkivkort

Bild på arkivkortet för arkivposten Abrahamsby

Information om arkivposten Abrahamsby

Information om Abrahamsby

Namn

Abrahamsby

Belägg

i Abramsby

Beläggsår

1591

Specifik lokaltyp

gd

Lokalisering

Gottröra sn, Långhundra hd, Stockholms län, Uppland

Informationstyp

Belägg

Id för arkivposten

1977931

Arkivkort

Bild på arkivkortet för arkivposten Abrahamsby

Information om arkivposten Abrahamsby

Information om Abrahamsby

Namn

Abrahamsby

Belägg

abrams by

Beläggsår

1597

Specifik lokaltyp

by

Lokalisering

Gottröra sn, Långhundra hd, Stockholms län, Uppland

Informationstyp

Belägg

Id för arkivposten

1977928

Arkivkort

Bild på arkivkortet för arkivposten Abrahamsby

Information om arkivposten Abrahamsby

Information om Abrahamsby

Namn

Abrahamsby

Belägg

abrams by

Beläggsår

1597

Specifik lokaltyp

by

Lokalisering

Gottröra sn, Långhundra hd, Stockholms län, Uppland

Informationstyp

Belägg

Id för arkivposten

1977928

Arkivkort

Bild på arkivkortet för arkivposten Abrahamsby

Information om arkivposten Abrahamsby

Information om Abrahamsby

Namn

Abrahamsby

Belägg

i Abramsbij

Beläggsår

1597-10-26

Specifik lokaltyp

gd

Lokalisering

Gottröra sn, Långhundra hd, Stockholms län, Uppland

Informationstyp

Belägg

Id för arkivposten

1977932

Arkivkort

Bild på arkivkortet för arkivposten Abrahamsby

Information om arkivposten Abrahamsby

Information om Abrahamsby

Namn

Abrahamsby

Belägg

i Abramsbij

Beläggsår

1597-10-26

Specifik lokaltyp

gd

Lokalisering

Gottröra sn, Långhundra hd, Stockholms län, Uppland

Informationstyp

Belägg

Id för arkivposten

1977932

Arkivkort

Bild på arkivkortet för arkivposten Abrahamsby

Information om arkivposten Abrahamsby

Information om Abrahamsby

Namn

Abrahamsby

Belägg

Abrahamsby

Beläggsår

1871

Lokalisering

Gottröra sn, Långhundra hd, Stockholms län, Uppland

Informationstyp

Belägg

Källa

OAUjb = Excerpter ur kameralt material i Svenska Riksarkivet.

Id för arkivposten

4188368

Arkivkort

Bild på arkivkortet för arkivposten Abrahamsby

Information om arkivposten Abrahamsby

Information om Abrahamsby

Namn

Abrahamsby

Belägg

Abrahamsby

Beläggsår

1871

Lokalisering

Gottröra sn, Långhundra hd, Stockholms län, Uppland

Informationstyp

Belägg

Källa

OAUjb = Excerpter ur kameralt material i Svenska Riksarkivet.

Id för arkivposten

4188368

Arkivkort

Bild på arkivkortet för arkivposten Abrahamsby

Information om arkivposten Abrahamsby

Information om Abrahamsby

Namn

Abrahamsby

Specifik lokaltyp

by

Lokalisering

Gottröra sn, Långhundra hd, Stockholms län, Uppland

Informationstyp

Uppteckningar

Id för arkivposten

1977927

Arkivkort

Bild på arkivkortet för arkivposten Abrahamsby

Information om arkivposten Abrahamsby

Information om Abrahamsby

Namn

Abrahamsby

Specifik lokaltyp

by

Lokalisering

Gottröra sn, Långhundra hd, Stockholms län, Uppland

Informationstyp

Uppteckningar

Id för arkivposten

1977927

Arkivkort

Bild på arkivkortet för arkivposten Abrahamsby

Information om arkivposten Abrahamsby

Information om Abrahamsby

Namn

Abrahamsby

Specifik lokaltyp

gård

Lokalisering

Gottröra sn, Långhundra hd, Stockholms län, Uppland

Informationstyp

Uppteckningar

Id för arkivposten

1977933

Arkivkort

Bild på arkivkortet för arkivposten Abrahamsby

Information om arkivposten Abrahamsby

Information om Abrahamsby

Namn

Abrahamsby

Specifik lokaltyp

gård

Lokalisering

Gottröra sn, Långhundra hd, Stockholms län, Uppland

Informationstyp

Uppteckningar

Id för arkivposten

1977933

Arkivkort

Bild på arkivkortet för arkivposten Abrahamsby